ラベプラゾールヒドロキシ化合物 CAS 675198-19-3 純度 >99.0% (HPLC) 工場
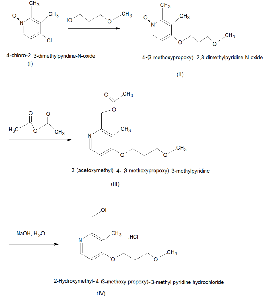
Shanghai Ruifu Chemical は、高品質のレベプラゾール ナトリウム (CAS: 117976-90-6) の中間体である [4-(3-メトキシプロポキシ)-3-メチル-2-ピリジニル]メタノール塩酸塩 (ラベプラゾール ヒドロキシ化合物) (CAS: 675198-19-3) の大手メーカーです。 Ruifu Chemical は、先進的で高品質の医薬品中間体と医薬品原薬 (API) を提供します。
Ruifu Chemical は、世界各地への配送、競争力のある価格、優れたサービス、少量から大量の数量まで対応可能です。ラベプラゾールナトリウム中間体を購入し、 ご連絡ください: alvin@ruifuchem.com
| 化学名 | [4-(3-メトキシプロポキシ)-3-メチル-2-ピリジニル]メタノール塩酸塩 |
| 同義語 | ラベプラゾールヒドロキシ化合物; (4-(3-メトキシプロポキシ)-3-メチルピリジン-2-イル)メタノール塩酸塩; 4-(3-メトキシプロポキシ)-3-メチルピリジン-2-塩酸メタノール |
| CAS番号 | 675198-19-3 |
| 在庫状況 | 在庫あり、最大トンまで生産規模 |
| 分子式 | C11H18ClNO3 |
| 分子量 | 247.72 |
| COA と MSDS | 利用可能 |
| 製品の原産地 | 中国、上海 |
| 賞味期限 | 適切に保管した場合は 24 か月 |
| 製品カテゴリー | 医薬品中間体 |
| ブランド | 瑞風化学 |
| アイテム | 仕様 | 結果 |
| 外観 | 淡黄色の結晶性粉末 | 淡黄色の結晶性粉末 |
| アッセイ/分析方法 | >99.0% (HPLC) | 99.7% |
| 乾燥減量 | <0.50% | 0.23% |
| 強熱時の残留物 | <0.20% | 0.06% |
| 単一の不純物 | <0.50% | <0.50% |
| 総不純物 | <0.50% | 0.30% |
| 重金属(鉛として) | <20ppm | <20ppm |
| 結論 | 製品はテストされており、指定された仕様に準拠しています | |
| 使用法 | レベプラゾールナトリウムの中間体 (CAS: 117976-90-6) | |
パッケージ: ボトル、アルミホイルバッグ、25kg/ボール紙ドラム、または顧客の要件に応じて
保管状態:密閉容器に入れて涼しく乾燥した場所に保管してください。光や湿気から守る


[4-(3-メトキシプロポキシ)-3-メチル-2-ピリジニル]メタノール塩酸塩、ラベプラゾールヒドロキシ化合物、(CAS: 675198-19-3) は、レベプラゾールナトリウム (CAS: 117976-90-6) の中間体です。 ラベプラゾールナトリウムアゾールカンカーは、日本のエーザイ社が初めて開発に成功したレイベラアゾールナトリウム塩型のプロトンポンプ阻害剤クラスの薬剤であり、波力の商品名であり、プロトンポンプ阻害剤の役割は、安定した疾患領域の胃酸分泌を減少させ、胃潰瘍、十二指腸潰瘍、胃食道逆流症の効果を治すことです。主に胃・十二指腸潰瘍選択、消化性潰瘍、胃食道逆流症、卓越症候群などの酸関連疾患の臨床治療に使用されます。 レベプラゾールナトリウムは、オメプラゾールと比較して作用の発現が早いですが、作用持続時間は短くなります。 ラベプラゾールは、胃壁細胞のプロトンポンプに結合することによって胃酸分泌を阻害するベンズイミダゾール代替品です。この製品は、胃酸生成の重要な酵素であるアデノシン三リン酸の作用を阻害します。塩基性胃酸や刺激による胃酸の分泌を抑制します。





