化学名: TDBTU
CAS: 125700-69-8
純度: >99.0% (HPLC)
外観: 白色結晶粉末
ペプチドカップリング試薬、高品質
連絡先: アルビン・ファン博士
モバイル/Wechat/WhatsApp: +86-15026746401
電子メール: alvin@ruifuchem.com
1-(3-ジメチルアミノプロピル)-3-エチルカルボジイミド
同義語: EDC
CAS: 1892-57-5
EDC・HCl CAS: 25952-53-8
純度: >98.5% (GC)
外観:無色から淡黄色の液体
化学名: モノ-テレフタル酸メチル
同義語: MMT
CAS: 1679-64-7
高品質のカップリング試薬
化学名: 2-メシチレンスルホニルクロリド
別名: 2,4,6-トリメチルベンゼンスルホニルクロリド
CAS: 773-64-8
1-ヒドロキシベンゾトリアゾール水和物
同義語: HOBt・H2O; HOBt水和物
CAS: 123333-53-9
関連 CAS: 80029-43-2
1-ヒドロキシベンゾトリアゾール無水物
同義語: HOBt無水物
CAS: 2592-95-2
白からオフ-白色の結晶性粉末
1-ヒドロキシ-7-アザベンゾトリアゾール
同義語: HOAt
CAS: 39968-33-7
純度: >99.5% (HPLC)
化学名: HCTU
CAS: 330645-87-9
化学名: HBTU
CAS: 94790-37-1
外観: 白色の結晶性粉末
化学名: HATU
CAS: 148893-10-1
N-エトキシカルボニル-2-エトキシ-1,2-ジヒドロキノリン
同義語: EEDQ
CAS: 16357-59-8
1-(3-ジメチルアミノプロピル)-3-エチルカルボジイミド塩酸塩
別名: EDC・HCl
CAS: 25952-53-8
純度: >99.0% (アルゲン滴定)
ペプチド合成用カップリング試薬
4-(4,6-ジメトキシ-1,3,5-トリアジン-2-イル)-4-メチルモルホリニウムクロライド水和物
同義語: DMTMM
CAS: 3945-69-5
純度: >98.0% (HPLC)
外観: 白からオフホワイトの粉末
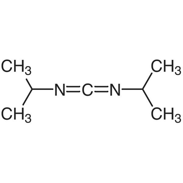
N,N'-ジイソプロピルカルボジイミド
同義語: DIC
CAS: 693-13-0
純度: >99.0% (GC)
外観: 無色から淡黄色の液体