名前: トリフルオロメタンスルホン酸ツリウム(III)
別名: ツリウム(III) トリフラート
CAS: 141478-68-4
純度: >98.0% (錯滴定)
Tm: 26.7~28.1% (錯滴定)
外観: 白からオフ-白色の粉末または結晶
電子メール: alvin@ruifuchem.com
名前: トリフルオロメタンスルホン酸ホルミウム(III)
CAS: 139177-63-2
Ho: 26.2~27.6% (錯数滴定)
外観: 白からピンク色の粉末または結晶
名前: トリフルオロメタンスルホン酸ガドリニウム(III)
CAS: 52093-29-5
Gd: 25.3~26.7% (錯滴定)
外観:白からオフホワイト-白色の粉末または結晶
名前: トリフルオロメタンスルホン酸ユーロピウム(III)
CAS: 52093-25-1
純度: >98.0% (化学滴定)
Eu: 24.7~26.0% (錯数測定EDTA)
名前: トリフルオロメタンスルホン酸サマリウム(III)
CAS: 52093-28-4
Sm: 24.5~25.8% (錯数測定EDTA)
外観: 白い粉末または結晶
E-メール: alvin@ruifuchem.com
名前: トリフルオロメタンスルホン酸ビスマス(III)
CAS: 88189-03-1
純度: >98.0%
Bi (錯測定EDTA): 31.0~32.6%
外観: 白からオフホワイトの粉末
トリフルオロメタンスルホン酸イッテルビウム(III)水和物
CAS: 54761-04-5
Yb: 26.8~29.0% (錯測定EDTA)
外観: オフ-白またはライトグレーの粉末
化学名: トリフルオロメタンスルホン酸トリメチルシリル
同義語: トリメチルシリル トリフラート; TMSトリフレート; TMSOTf
CAS: 27607-77-8
純度: >99.0% (GC)
無色または淡黄色透明の液体
連絡先: アルビン・ファン博士
モバイル/Wechat/WhatsApp: +86-15026746401
化学名: トリフルオロメタンスルホン酸メチル
CAS: 333-27-7
外観: 無色透明の液体
高品質、商業生産
名前: トリフルオロメタンスルホン酸無水物
CAS: 358-23-6
アッセイ: >99.0% (中和滴定)
外観: 無色の液体
三フッ化ホウ素アセトニトリル錯体溶液
CAS: 420-16-6
BF3 (NaOH 0.1M による滴定): ≥19.0%
名前: 三フッ化ホウ素-メタノール溶液
仕様と純度: メタノール中 14 wt.%
CAS: 373-57-9
外観: 無色から淡黄色の液体
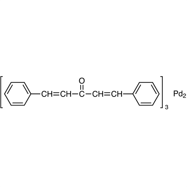
名前: トリス(ジベンジリデンアセトン)ジパラジウム(0)
同義語: Pd2(dba)3
CAS: 60748-47-2
アッセイ (元素分析): ≥98.0%、Pd ≥21.5%
外観: 紫から黒色の粉末
化学名: チオグリコール酸ナトリウム
CAS: 367-51-1
純度: ≥99.0% (ヨウ素滴定)