DMDO-Cl CAS 80841-78-7 純度 >96.0% (GC) オルメサルタン メドキソミル中間体工場
Ruifu Chemical Supply 高品質のオルメサルタン メドキソミル中間体:
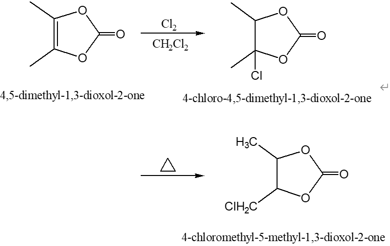
4,5-ジメチル-1,3-ジオキソール-2-1 (DMDO) CAS 37830-90-3
4-クロロメチル-5-メチル-1,3-ジオキソール-2-ワン (DMDO-Cl) CAS 80841-78-7
エチル 4-(1-ヒドロキシ-1-メチルエチル)-2-プロピル-イミダゾール-5-カルボン酸塩 CAS 144689-93-0
ジエチル 2-プロピル-1H-イミダゾール-4,5-ジカルボキシレート CAS 144689-94-1
トリチルオルメサルタンエチルエステル CAS 144690-33-5
トリチルオルメサルタン酸 CAS 761404-85-7
N2-トリチルオルメサルタン酸 CAS 752179-89-8
トリチルオルメサルタン メドキソミル CAS 144690-92-6
オルメサルタン メドキソミル CAS 144689-63-4
| 化学名 | 4-クロロメチル-5-メチル-1,3-ジオキソール-2-オン |
| 同義語 | DMDO-Cl |
| CAS番号 | 80841-78-7 |
| CAT番号 | RF-PI1871 |
| 在庫状況 | 在庫あり、生産能力 300 トン/年 |
| 分子式 | C5H5ClO3 |
| 分子量 | 148.54 |
| 沸点 | 93℃/2mmHg |
| ブランド | 瑞風化学 |
| アイテム | 仕様 |
| 外観 | 無色~黄色の液体 |
| 識別 (GC) | サンプルのクロマトグラムにおける主要ピークの保持時間は、純度および関連物質で得られる標準の保持時間に対応します。 |
| 純度・分析方法 | >96.0% (GC) |
| 水 (カール・フィッシャー著) | <0.50% |
| 不純物A | <1.50% |
| 不純物B | <0.50% |
| 不純物C | <3.00% |
| 不純物D | <4.00% |
| 不純物E | <0.10% |
| 屈折率 N20/D | 1.476~1.482 |
| 比重(20/20℃) | 1.357~1.363 |
| プロトンNMRスペクトル | 構造に適合 |
| テスト標準 | エンタープライズ標準 |
| 使用法 | オルメサルタン メドキソミルの中間体 (CAS: 144689-63-4) |
4-クロロメチル-5-メチル-1,3-ジオキソール-2-オンの合成経路
パッケージ: フッ素化ボトル、25kg/ドラム、または顧客の要件に応じて
保管状態:密閉容器に入れて涼しく乾燥した場所に保管してください。光や湿気から守る


4-クロロメチル-5-メチル-1,3-ジオキソール-2-オン、(DMDO-Cl) (CAS: 80841-78-7) は、オルメサルタン メドキソミル (CAS: 144689-63-4) の中間体です。 オルメサルタン メドキソミル は、高血圧の治療に使用される新しい選択的かつ競合的な非ペプチド性アンジオテンシン II 受容体拮抗薬です。オルメサルタンは、血管筋内の AT1 受容体へのアンジオテンシン II の結合をブロックすることによって作用します。オルメサルタンは、アンジオテンシン II の合成ではなく結合をブロックすることにより、レニン分泌に対する負の制御フィードバックを阻害します。 オルメサルタン メドキソミルは、高血圧症の経口投与治療薬である Benicar@ として米国で発売されました。





