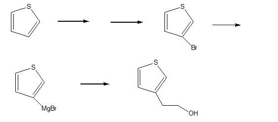
3-チオフェンエタノール CAS 13781-67-4 純度 >99.0% (GC) 工場主力製品
メーカー供給、高純度、商業生産
化学名: 3-チオフェンエタノール CAS: 13781-67-4
| 化学名 | 3-チオフェンエタノール |
| 同義語 | チオフェン-3-エタノール; 3-(2-ヒドロキシエチル)チオフェン; 2-(3-チエニル)エタノール; 2-(チオフェン-3-イル)エタノール |
| CAS番号 | 13781-67-4 |
| CAT番号 | RF-PI1001 |
| 在庫状況 | 在庫あり、最大トンまで生産規模 |
| 分子式 | C6H8OS |
| 分子量 | 128.19 |
| 沸点 | 110.0~111.0℃/14mmHg(点灯) |
| 密度 | 1.144 g/mL at 25℃ (点灯) |
| 屈折率 | n20/D 1.552 (点灯) |
| ブランド | 瑞風化学 |
パッケージ: ボトル、25kg/バレル、または顧客の要件に応じて。
保管状態:密閉容器に入れて涼しく乾燥した場所に保管してください。光や湿気から守ります。


3-チオフェンエタノール (CAS: 13781-67-4) は、細胞イメージングおよび制御された薬物送達のための pH 応答性近赤外放射共役ポリマーナノ粒子の合成における試薬として使用されます。 3-チオフェンエタノールは、強力な呼吸器合胞体ウイルス RNA ポリメラーゼ阻害剤の調製における試薬としても使用されます。





