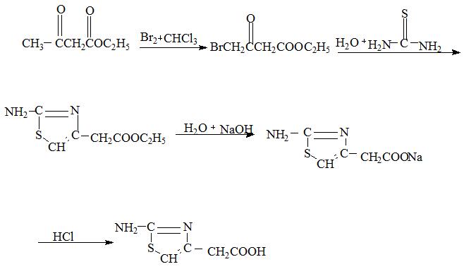
(2-アミノ-4-チアゾリル)酢酸 (ATAA) CAS 29676-71-9 純度 >99.5% (HPLC) セフォチアム中間体工場
高品質のメーカー供給、商業生産
化学名: (2-アミノ-4-チアゾリル)酢酸 CAS: 29676-71-9
| 化学名 | (2-アミノ-4-チアゾリル)酢酸 |
| 同義語 | ATAA; (2-アミノチアゾール-4-イル)酢酸; 2-アミノチアゾール-4-酢酸; 2-アミノ-4-チアゾール酢酸 |
| CAS番号 | 29676-71-9 |
| CAT番号 | RF-PI1112 |
| 在庫状況 | 在庫あり、最大トンまで生産規模 |
| 分子式 | C5H6N2O2S |
| 分子量 | 158.18 |
| ブランド | 瑞風化学 |
パッケージ: ボトル、アルミホイルバッグ、25kg/ボール紙ドラム、または顧客の要件に応じて。
保管状態:密閉容器に入れて涼しく乾燥した場所に保管してください。光や湿気から守ります。


(2-アミノ-4-チアゾリル)酢酸 (CAS: 29676-71-9) は、セフォチアムの中間体として使用できます。 セフォティアムは、抗生物質の第 3 世代ベータ -ラクタム セファロスポであり、広範囲のグラム陽性菌とグラム陰性菌の両方に対して活性があります。 注射用には二塩酸塩として、経口投与用にはプロドラッグエステルであるセフォチアム ヘキセチルとして製剤化された半合成セファロスポリン。活性はセフロキシムと似ていますが、さまざまな腸内細菌に対して若干活性が高くなります。





