5(4)-アミノ-4(5)-イミダゾールカルボキサミド塩酸塩 CAS 72-40-2 ダカルバジンおよびテモゾロミド中間体高品質
高純度・量産対応メーカー
テモゾロミドおよび関連中間体の供給:
テモゾロミド CAS: 85622-93-1
4(5)-アミノ-5(4)-イミダゾールカルボキサミド CAS: 360-97-4
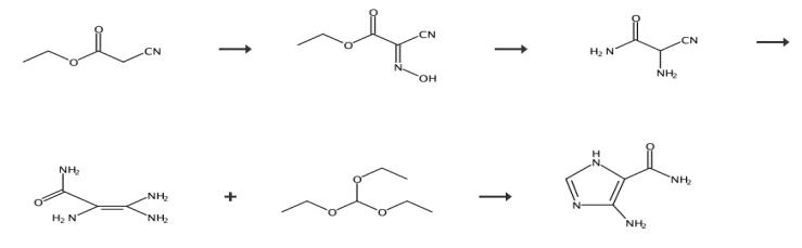
5(4)-アミノ-4(5)-イミダゾールカルボキサミド塩酸塩 CAS: 72-40-2
| 化学名 | 5(4)-アミノ-4(5)-イミダゾールカルボキサミド塩酸塩 |
| 同義語 | 5(4)-アミノ-4(5)-(アミノカルボニル)イミダゾール塩酸塩 |
| CAS番号 | 72-40-2 |
| CAT番号 | RF-PI239 |
| 在庫状況 | 在庫あり、最大トンまで生産規模 |
| 分子式 | C4H7ClN4O |
| 分子量 | 162.58 |
| ブランド | 瑞風化学 |
パッケージ: ボトル、アルミホイル袋、ボール紙ドラム、25kg/ドラム、または顧客の要件に従って。
保管状態:密閉容器に入れて涼しく乾燥した場所に保管してください。光、湿気、害虫の侵入から守ります。


Shanghai Ruifu Chemical Co., Ltd. は、高品質の 5(4)-アミノ-4(5)-イミダゾールカルボキサミド塩酸塩 (CAS: 72-40-2) の大手メーカーおよびサプライヤーです。 5(4)-アミノ-4(5)-イミダゾールカルボキサミド塩酸塩 (CAS: 72-40-2) は、通常、ダカルバジン (CAS: 4342-03-4) およびテモゾロミド (CAS: 85622-93-1) の合成における中間体です。
5-アミノ-4-イミダゾールカルボキサミド塩酸塩も、核酸合成の前駆体です。
テモゾロミド (TMZ) (CAS: 85622-93-1) は、多形膠芽腫 (GBM) および星状細胞腫、転移性黒色腫の治療に使用される経口アルキル化剤です。





